
主编:韩冰
创刊时间:1958年
国际标准刊号:ISSN 1674-5795
国内统一刊号:CN 11-5347/TB
国内邮发代号:80-441
- 浏览排行
- 引用排行
- 下载排行
2025(6):10-28. DOI: 10.11823/j.issn.1674-5795.2025.06.01
摘要:介绍了基于孤子微腔光梳的精密测距技术基本原理及其在芯片级集成、高精度与高速度等方面的优势。阐述了微腔单光梳线性调频连续波、混沌测距、色散干涉与合成波长法,以及双光梳测距的原理与实现方法。探讨了重复频率锁定、频率扫描和并行成像等发展路径。指出该领域研究已从原理性验证迈向性能优化与实用化探索的新阶段。提出未来技术演进将趋向系统级光电全集成、多功能可重构与跨领域深度融合,推动芯片级精密激光雷达在车载感知、工业计量、空间探测等场景的规模化应用。
2025(6):29-40. DOI: 10.11823/j.issn.1674-5795.2025.06.02
摘要:为解决工业高速视觉测量领域中提取微小光斑中心时存在的精度下降和计算延迟问题,提出一种面向小尺寸光斑的高速实时光斑定位方法。在现场可编程逻辑门阵列中设计并构建基于滑动窗口亮度一致性的感兴趣区域提取算法,提升检测速度。设置距离加权最小二乘拟合法和基于信噪比的自适应权重调节机制相结合的微小光斑中心提取算法,提升微小光斑在光照变化和噪声条件下的定位鲁棒性,实现快速且高精度的小尺寸光斑中心定位。实验结果表明:利用该方法进行小尺寸光斑提取时,光斑中心定位误差不超过0.05 pixels,帧率达160 帧 / 秒,相较传统方法处理速度明显提升。该方法能够有效满足工业高速视觉测量领域的微小光斑中心高精度实时定位需求。
程鑫 , 丛杉珊 , 薛志鹏 , 刘金全 , 苗子健 , 王升
2025(6):41-49. DOI: 10.11823/j.issn.1674-5795.2025.06.03
摘要:为突破传统航天产品高成本、长周期的研制瓶颈,满足巨型卫星星座对空间光学载荷批量化制造的迫切需求,本研究团队采用模块化结构设计、工艺优化与自动化测试技术相结合的方法,研制了一种小F数(光学系统焦距 / 通光口径)与微小像元结合的马克苏托夫-卡塞格林式光学系统,通过镜头与焦面组件互换装配及自动化总装总测线集成,在500 km轨道高度可实现地面像元分辨力4.5 m、幅宽13.5 km × 13.5 km的成像能力,整机重量仅1.1 kg,使整体研制效率提升50%。该成果为微小型空间光学载荷的低成本、快速批量化生产提供了重要的技术支撑。
杜强 , 郝建海 , 白金海 , 胡栋 , 王宇 , 徐浩天 , 张烨元
2025(6):50-64. DOI: 10.11823/j.issn.1674-5795.2025.06.04
摘要:介绍了里德堡原子超外差微波测量技术的物理原理与典型方法,阐述了其在灵敏度提升、相位测量及动态范围扩展等方面的研究进展,分析了该技术在航空装备应用中的潜在价值与当前局限,探讨了该技术体系从实验室迈向航空装备应用的发展脉络与关键技术挑战。指出该技术当前成熟度尚处于原理突破向装备集成的过渡阶段,提出该技术迈向航空装备应用应遵循核心单元芯片化集成、系统级环境适应性强化、面向任务的网络化协同感知三个阶段。为构建新一代高灵敏、分布式、智能化的航空微波测量体系提供了前瞻性技术路线图。
潘延 , 王暖让 , 王运佳 , 冯士龙 , 薛潇博 , 张升康
2025(6):65-72. DOI: 10.11823/j.issn.1674-5795.2025.06.05
摘要:为准确且高效地调控Hg+微波原子钟探测时序,研发了一套高度集成化的自定义时序控制系统。该系统采用分层架构设计,通过上位机软件实现参数设定与时序配置下发,利用嵌入式软件实时解析接收的指令并生成高精度操作时序,最终驱动外围设备精确执行对应操作,实现时序逻辑的灵活配置与动态重构。实验结果表明:该系统生成的时序与理论设计时序一致,能够便捷高效地实现双共振探测、Rabi探测和Ramsey探测的时序调控。该系统为Hg+微波原子钟的集成化研究提供了可靠的时序控制解决方案。
张羽 , 杨宏伟 , 刘方 , 杨文刚 , 蒋洪川 , 邓新武
2025(6):73-85. DOI: 10.11823/j.issn.1674-5795.2025.06.06
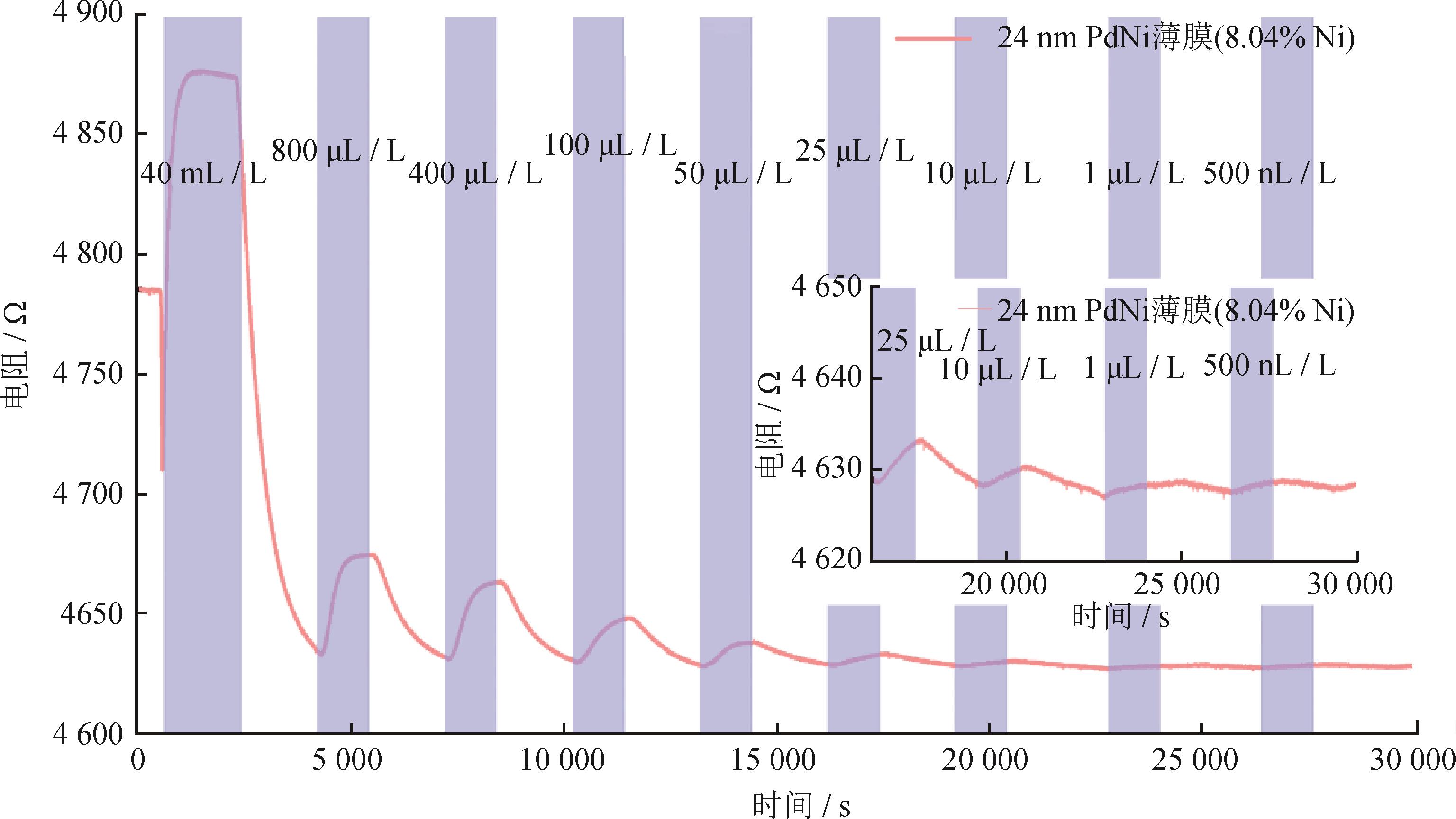
摘要:O2、H2O对PdNi薄膜的氢气敏感性有较大影响,为了实现对电解水制氢、核电站储存、深海能源勘探等含氧高湿度环境中氢气浓度的监测,采用磁控溅射法、光刻及等离子刻蚀等方法制备PdNi薄膜氢传感器。通过调控PdNi薄膜中Ni含量、厚度,系统研究在O2、H2O干扰下Ni含量及厚度对PdNi薄膜氢传感器稳定性的影响;利用XRD、SEM、XPS等分析测试方法分别对PdNi薄膜结晶度、元素含量、元素价态等进行表征。实验结果表明:随着Ni含量升高,PdNi薄膜对氢气的响应受H2O和O2的影响越大,而增加膜厚可降低干扰但会削弱响应灵敏度。其中,Ni含量8.04%,厚24 nm的PdNi薄膜氢传感器虽受O2和H2O影响,但其响应曲线能在经历干扰后恢复至初始状态。该研究成果为开发应用于复杂环境下的氢传感器提供了重要支撑。
2025(6):86-94. DOI: 10.11823/j.issn.1674-5795.2025.06.07
摘要:为满足气体介质条件下快响应K型热电偶响应时间常数的校准需求,研制基于气体温度阶跃法的热电偶响应时间常数校准装置。通过理论计算确定加热器功率、节流孔面积、喷嘴流量等关键参数,利用Ansys Fluent软件进行仿真以优化阶跃温度发生模块结构。提出基于动态压力同步监测的校准方法,以压力阶跃时刻为基准,规避非理想激励干扰,确保响应时间常数计算精准。利用基于气体温度阶跃法的热电偶响应时间常数校准装置进行试验,结果表明:该装置产生的气体温度阶跃幅值达到200 ℃以上,温度阶跃激励时间约为2.2 ms,能够有效实现不同偶丝直径的K型热电偶响应时间常数校准,具有重要工程应用价值。
2025(6):95-104. DOI: 10.11823/j.issn.1674-5795.2025.06.08
摘要:为了解决垂直入射声响应模型在参数反演方法中的局限性,开展了基于无规则声入射的多孔参数反演研究。建立材料多孔参数与无规则入射吸声系数间的理论模型,利用仿真手段模拟多孔材料无规则入射声响应过程,以模拟测试吸声数据为参考,基于所建立的理论模型和遗传算法迭代反演多孔参数,并分析反演参数的精度与收敛性。结果表明:相关理论结果与仿真结果吻合良好,反演多孔参数的相对误差小于9.0%,相对标准差小于1 × 10-3,基于无规则声入射的多孔参数反演方法精度较高,反演多孔参数稳定收敛。本研究为多孔参数反演提供了新理论方法,具备良好的学术研究和工程应用前景。
2025(6):105-115. DOI: 10.11823/j.issn.1674-5795.2025.06.09
摘要:为了提升复杂地貌区域数字高程模型(Digital Elevation Model, DEM)的构建质量与生产效率,提出一种融合高分辨力光学影像与合成孔径雷达(Synthetic Aperture Radar, SAR)干涉影像的多源DEM获取与融合方法。以无人机和卫星遥感系统为平台,构建多视角数据获取链路,分别生成光学影像DEM与干涉影像SAR-DEM,并引入基于纹理与结构特征的点云分类算法以及区域自适应权重估计模型,实现对多源高程数据的加权融合。融合过程中采用误差约束与接边控制策略,解决了地貌遮挡、数据空洞及高程跳变等典型难题。在森林、冰川、沙漠、城市和水体等典型地貌区域开展实验,结果表明:该方法具备高程恢复精度高和边界连续性好的特点,能够满足多种地貌类型的三维建模需求,其中丘陵地区的相对高程中误差仅为0.5 m。该研究成果为高分辨力地形测图、地貌演化监测及灾害预警等领域提供了稳定可靠的技术支撑,对推动遥感测绘的自动化与智能化具有重要意义。
2025(6):116-127. DOI: 10.11823/j.issn.1674-5795.2025.06.10
摘要:为系统解决硬度自动化检测系统的测量系统分析(Measurement System Analysis, MSA)应用难题,阐述了其MSA的特殊性,指出传统重复性与再现性(Gage Repeatability and Reproducibility, GRR)方法在变异源识别与实验设计上的局限性。在此基础上,提出一种“过程解耦-混合GRR”实验策略,将硬度检测流程解耦为压痕生成(破坏性)与压痕测量(非破坏性)2个子过程,分别采用嵌套设计与交叉设计进行变异源分离与量化。通过构建双检测单元自动化平台,开展系统的MSA实验,运用方差分析法评估设备重复性、再现性及交互作用的影响。研究结果表明:所提出的方法能有效识别主导变异源,为硬度自动化检测系统的性能评估与优化提供了可行的分析框架,具有较强的工程适用性与推广价值。
2025(6):128-140. DOI: 10.11823/j.issn.1674-5795.2025.06.11
摘要:为了准确评价机载传感器在自然环境长期、缓慢、综合累积作用下的计量性能,从机载传感器和自然环境的特性出发,对前期准备、试验方案、试验实施、结果分析和试验总结等方面的重要环节进行技术探讨,形成了一套相对通用的自然环境试验方法。通过自然环境试验,积累传感器计量指标变化的基础数据,为后续开展机载传感器计量性能的退化研究和计量周期研究提供支撑。
郑建华 , 赵俭 , 王筱庐 , 胡林陶 , 孔祥雪 , 赵乂鋆
2025(6):141-152. DOI: 10.11823/j.issn.1674-5795.2025.06.12
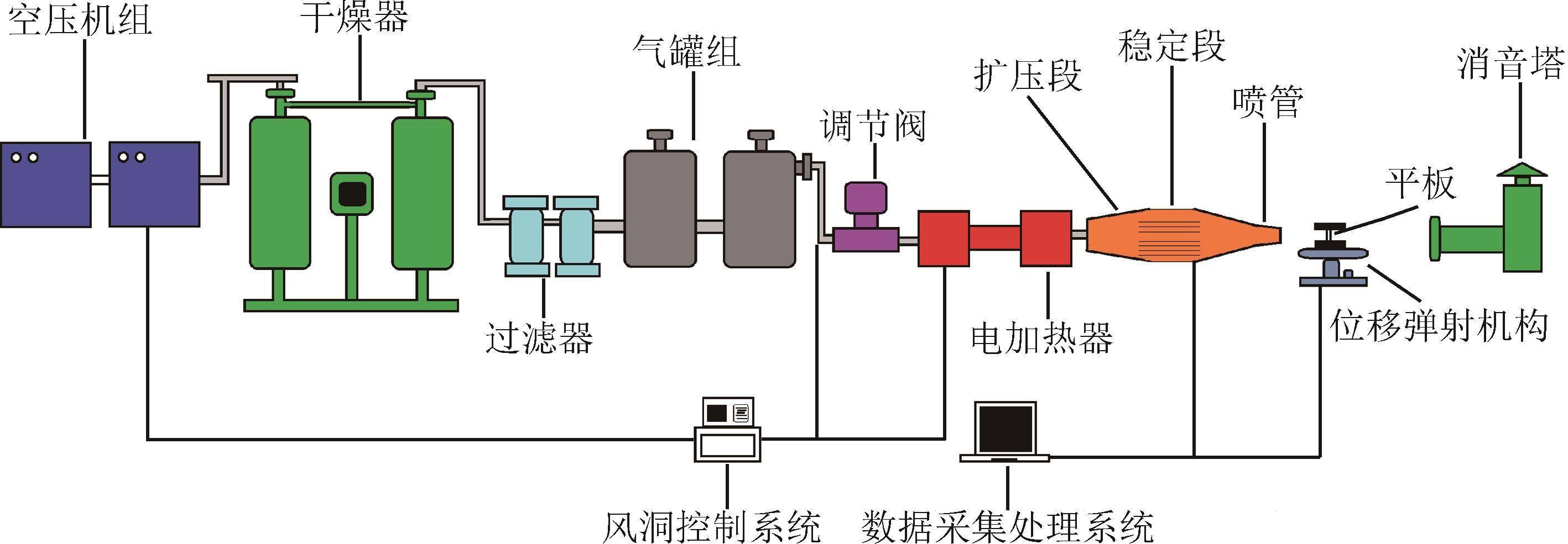
摘要:高超声速飞行器的研制及高温热防护技术均需准确的热流测量作为支撑,飞行器高速飞行时产生的剧烈气动加热以空气对流换热为主导,然而现有热流计在高温、高速极端服役环境下难以准确测量表面热载荷,导致测量准确度低,严重制约了热防护系统性能评估与材料研发。针对当前高温高速条件下热流计校准方法缺失这一问题,提出一种双平板瞬态校准方法。采用准确度更高的薄膜铂电阻传感器作为参考标准,将待校准的戈登热流计与之共同安装在位移弹射机构上,实现在气流条件下对戈登热流计的校准。基于研制的对流热流计量标准装置,在飞行马赫数0.3、100 ~ 300 ℃内开展校准试验。结果表明:该校准结果的相对扩展不确定度为4.2%(k = 2),且该方法能有效获得戈登热流计的对流热流灵敏系数。本文提出的双平板瞬态校准方法为高温高速的对流热流校准提供了新思路与新途径,显著提升了对流热流测量数据的可靠性,为高超声速飞行器研制及热防护系统热载荷的准确测量提供了有力技术支撑。
王一达 , 田青云 , 陈勇 , 孔祥雪 , 马可欣 , 王素杰 , 史继源
2025(6):153-160. DOI: 10.11823/j.issn.1674-5795.2025.06.13
摘要:传统测试设备难以满足高温环境下薄膜热电偶的高精度、高效静态温度测试需求,针对此问题,研发了一款具有大空间及精准控温功能的箱式炉。炉体采用分体式多层结构设计,可灵活拆卸侧部隔热构件以消除安装遮挡,满足不同形状薄膜热电偶的测试需求。利用三段硅钼棒进行高效加热,结合水冷装置实现精准控温,产生稳定可靠的温场。基于ANSYS Workbench 2019R3软件建立三维热力学模型并进行仿真测试,结果显示:试样测量端温场及参考端温度符合设计预期。利用研制的箱式炉进行实际测试,结果显示:炉内测试坐标系中温度波动度为0.47 ℃ / 6 min,温场均匀性均优于3 ℃ / 50 mm,符合薄膜热电偶测试要求。利用该箱式炉开展Au-Pt薄膜热电偶测试,进一步验证了其应用有效性,为薄膜热电偶静态温度特性检测提供了重要技术保障。

主编:韩冰
创刊时间:1958年
国际标准刊号:ISSN 1674-5795
国内统一刊号:CN 11-5347/TB
国内邮发代号:80-441